韩天养
作者简介
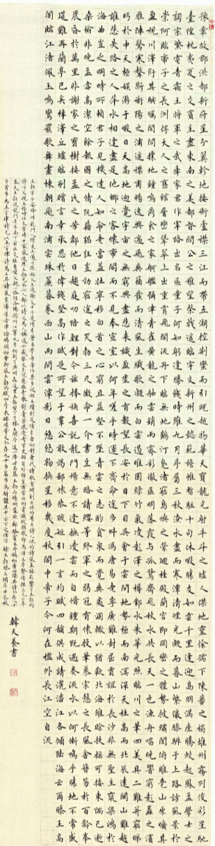
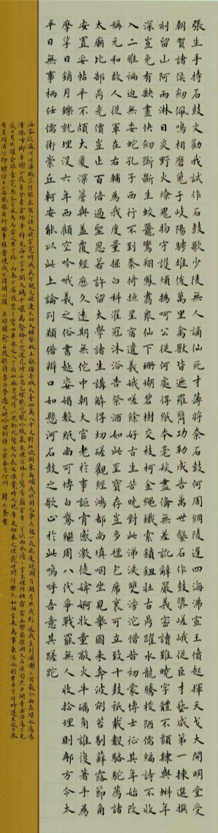
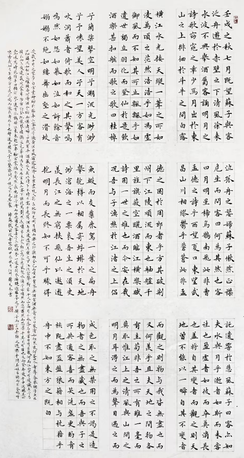
韩天养,福建省长汀县人,退伍军人,结业于中书协书法培训中心2011第九期创临班和北兰亭十届国展攻坚班,现为中国书法家协会会员,中国硬笔书协会员,中国书法院特聘书法家,全国硬笔书法高级注册教师,福建省书法家协会会员,龙岩市书法家协会理事,长汀县书法家协会副主席。韩天养先生自幼受家父熏陶,六岁习书,初临颜欧,后拜当代书法泰斗刘洪彪、刘文华先生为师。系统研习二王法帖和钟繇。王宠及历代名碑法帖。于楷书、行书见长,其艺术历程是一条沉潜传统。继而化古出新探索之路。笔力浑厚。姿态横生,他的创作,始终立足于传统功底。同时注重笔墨的当代性表达,使作品既有古典神韵,又焕发时代生机。
在艺术风格上。以"古质今研,意法相生"为追求。行书取法王羲之《圣教序》米芾《蜀素帖》等笔势灵动畅达。线条凝练而富有弹性。章法疏密有致。在迅疾的挥远中。不失法度。呈现出清逸俊朗,洒脱自然的书卷气息。其楷书则深研二王《黄庭经》《佛遗教经》《乐毅论》《洛神赋十三行》及王宠《包山集》用笔圆润,行笔凝重,点画古朴。
2024年被中央电视台大风车少儿艺术团授予"优秀教师",2023年获福建省教育学会授予"优秀指导教师"荣誉称号,
书法作品入展庆祝改革开放40周年全军书法作品展(中央军委政治工作部宣传局,中国书法家协会主办)
他深耕书画领域多年,作品兼具传统底蕴与个人风格,在国际文化交流舞台上成果斐然。曾连续在第27、28届日本·中国国际书画大赛中斩获中年组铜奖,并在第11届菲律宾-中国-日本国际书画大赛中荣获中年组三等奖。这些荣誉不仅彰显了其深厚的专业功底,更体现了中国书画艺术在国际文化交流中的独特魅力与影响力。
入围"中国瘞鹤铭奖"书法艺术大展(中国书法家协会主办)
获"滕王阁杯"全国第12届文学艺术大赛书法一等奖(江西省文联,江西省书协主办)
获"庆祝党的十八大召开全国名人家书画邀请大展"优秀奖(陕西省书协主办)
获首届《道德经》全国书法现场大展赛优秀奖(书法报社主办)
获首届中国传世书画临摹大展优秀奖(浙江在线书画频道,央视微电影频道主办)
获丰庆杯全国书画艺术展双年展优秀奖(书法导报社主办)
获首届,第二届,第三届,第四届,第五届,第六届,第七届"丰庆杯"全国书画作品展优秀奖(河南省书画院,书法导报社主办)
获第三届中国西安碑林书法艺术节优秀奖(西安碑林博物馆主办)入展首届,第五届"海峡杯"全国书画作品展(福建省书协主办)入展第十届"观音山杯"全国书法艺术大展(书法报社主办)
入选正立阳光第二届"希望。园梦"杯全国书画作品展(甘肃省书协主办)获中国硬笔书法协会会员优秀作品佳作奖(中国硬笔书协主办)入选全国第二届硬笔书法册页手卷艺术大展(中国硬笔书协主办)入选纪念改革开放40周年全国硬笔书法作品展(中国硬笔书协主办)
韩天养,福建省长汀县人,退伍军人,结业于中书协书法培训中心2011第九期创临班和北兰亭十届国展攻坚班,现为中国书法家协会会员,中国硬笔书协会员,中国书法院特聘书法家,全国硬笔书法高级注册教师,福建省书法家协会会员,龙岩市书法家协会理事,长汀县书法家协会副主席。韩天养先生自幼受家父熏陶,六岁习书,初临颜欧,后拜当代书法泰斗刘洪彪、刘文华先生为师。系统研习二王法帖和钟繇。王宠及历代名碑法帖。于楷书、行书见长,其艺术历程是一条沉潜传统。继而化古出新探索之路。笔力浑厚。姿态横生,他的创作,始终立足于传统功底。同时注重笔墨的当代性表达,使作品既有古典神韵,又焕发时代生机。
在艺术风格上。以"古质今研,意法相生"为追求。行书取法王羲之《圣教序》米芾《蜀素帖》等笔势灵动畅达。线条凝练而富有弹性。章法疏密有致。在迅疾的挥远中。不失法度。呈现出清逸俊朗,洒脱自然的书卷气息。其楷书则深研二王《黄庭经》《佛遗教经》《乐毅论》《洛神赋十三行》及王宠《包山集》用笔圆润,行笔凝重,点画古朴。
2024年被中央电视台大风车少儿艺术团授予"优秀教师",2023年获福建省教育学会授予"优秀指导教师"荣誉称号,
书法作品入展庆祝改革开放40周年全军书法作品展(中央军委政治工作部宣传局,中国书法家协会主办)
他深耕书画领域多年,作品兼具传统底蕴与个人风格,在国际文化交流舞台上成果斐然。曾连续在第27、28届日本·中国国际书画大赛中斩获中年组铜奖,并在第11届菲律宾-中国-日本国际书画大赛中荣获中年组三等奖。这些荣誉不仅彰显了其深厚的专业功底,更体现了中国书画艺术在国际文化交流中的独特魅力与影响力。
入围"中国瘞鹤铭奖"书法艺术大展(中国书法家协会主办)
获"滕王阁杯"全国第12届文学艺术大赛书法一等奖(江西省文联,江西省书协主办)
获"庆祝党的十八大召开全国名人家书画邀请大展"优秀奖(陕西省书协主办)
获首届《道德经》全国书法现场大展赛优秀奖(书法报社主办)
获首届中国传世书画临摹大展优秀奖(浙江在线书画频道,央视微电影频道主办)
获丰庆杯全国书画艺术展双年展优秀奖(书法导报社主办)
获首届,第二届,第三届,第四届,第五届,第六届,第七届"丰庆杯"全国书画作品展优秀奖(河南省书画院,书法导报社主办)
获第三届中国西安碑林书法艺术节优秀奖(西安碑林博物馆主办)入展首届,第五届"海峡杯"全国书画作品展(福建省书协主办)入展第十届"观音山杯"全国书法艺术大展(书法报社主办)
入选正立阳光第二届"希望。园梦"杯全国书画作品展(甘肃省书协主办)获中国硬笔书法协会会员优秀作品佳作奖(中国硬笔书协主办)入选全国第二届硬笔书法册页手卷艺术大展(中国硬笔书协主办)入选纪念改革开放40周年全国硬笔书法作品展(中国硬笔书协主办)





























