陈宝东
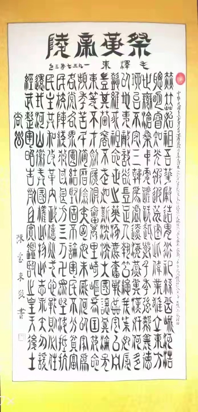
陈宝东1964年出生于山东省莱阳市,穴坊镇,芦山村,自幼师从陈羲义老先生学习国画和书法陈老先师是民国时期在青岛从董必武先生为师,学习文理书法,陈宝东受陈老先生的严格训练中临摹大量名家字帖,几十年如一日无论酷署严寒勤学苦练,多年来积极参加各种书画展出活动,2o21年1月荣获中华精英杯:全国书画大赛特别金奖
2o21年9月荣获第21届琅琊羲杯全国书画大赛书法作品金奖。同年9月应邀中央电视台文化强国节目《名家传承》艺术人生的专题报艺术家采访。同时应中国邮政出版发行了《盛世中国》传承经典国家名片,中国艺术家限量版邮册。
2o22年2月参加全国抗疫情书画作品展书法作品荣获一等奖,3月应中国艺术人物专题报道评为《人民艺术家》称号并颁发人民艺术家奖杯。3月16曰应邀人民艺术馆入驻注册为人民艺术家。
2o22年3月中央电视台出版了两会专刋并于中国书法家协会主席孙晓云女士,中书协评审委员会委员苏士澍先生,中美协主席范迪安先生,中国文联副主席靳尚谊先生共同出版了《传承经典时代榜样》书画集。
陈宝东经过几十年来的不断努力用自己坚韧不拨的意志赢得了同仁的认可深受人们的好评!
陈宝东先生,现为中国书法家协会会员,国家一级书法师,中华炎黄文化研究会经典传承工作委员会特聘技术行业宣讲客座教授,中国书画家协会会员,中国江南翰林诗书画院院士。
黑龙江省中华炎黄文化研究会,民俗文化传承保护研究会副会长,炎黄书画院执行院长终身签约书法家。
2o21年9月荣获第21届琅琊羲杯全国书画大赛书法作品金奖。同年9月应邀中央电视台文化强国节目《名家传承》艺术人生的专题报艺术家采访。同时应中国邮政出版发行了《盛世中国》传承经典国家名片,中国艺术家限量版邮册。
2o22年2月参加全国抗疫情书画作品展书法作品荣获一等奖,3月应中国艺术人物专题报道评为《人民艺术家》称号并颁发人民艺术家奖杯。3月16曰应邀人民艺术馆入驻注册为人民艺术家。
2o22年3月中央电视台出版了两会专刋并于中国书法家协会主席孙晓云女士,中书协评审委员会委员苏士澍先生,中美协主席范迪安先生,中国文联副主席靳尚谊先生共同出版了《传承经典时代榜样》书画集。
陈宝东经过几十年来的不断努力用自己坚韧不拨的意志赢得了同仁的认可深受人们的好评!
陈宝东先生,现为中国书法家协会会员,国家一级书法师,中华炎黄文化研究会经典传承工作委员会特聘技术行业宣讲客座教授,中国书画家协会会员,中国江南翰林诗书画院院士。
黑龙江省中华炎黄文化研究会,民俗文化传承保护研究会副会长,炎黄书画院执行院长终身签约书法家。






















